Tidy Survival Analysis: Applying R’s Tidyverse to Survival Data

Module 1. Introduction

Lu Mao

Department of Biostatistics & Medical Informatics

University of Wisconsin-Madison

Aug 3, 2025

Basics of Survival Analysis

Time-to-Event Data

  • A common type of outcome in medical and clinical studies
    • Starting point: Randomization, diagnosis, enrollment, birth, etc.
    • Endpoint (Event of interest): Death, disease onset, hospitalization, etc.
      • Engineering: Failure times of machines or components (reliability)
      • Social sciences: Time to job change, dropout, or event occurrence
  • Right censoring:
    • Event not observed within the follow-up period
    • Due to study ending, dropout, or loss to follow-up
    • We only know:
      \[ T > C \] where \(T\) is event time and \(C\) is censoring time

Follow-up (Swimmer) Plot

  • A rat tumorigenicity study

Basic Estimands

  • Survival function: \(S(t) = \Pr(T > t)\)
    • Probability subject survives beyond time \(t\)
  • Hazard function:
    \[ \lambda(t) = \lim_{\Delta t \to 0} \frac{\Pr(t \leq T < t + \Delta t \mid T \geq t)}{\Delta t} \]
    • Instantaneous risk of failure at time \(t\)
  • Relationship \[ S(t) = \exp\left(-\int_0^t \lambda(u) \mathrm{d}u\right) \]
    • Cumulative hazard function: \(\Lambda(t) = \int_0^t \lambda(u) \mathrm{d}u\)

Observed (Censored) Data

  • Notation: \((X, \delta)\)
    • \(X=\min(T, C)\): observation time (event or censoring)
    • \(\delta = I(T\leq C)\): event indicator (1 for event, 0 for censoring)
  • Data format
# time = X, status = delta (tidy format)
    id    time status
1     1     5     1
2     2     3     0
3     3     8     1
4     4     2     0
5     5     6     1
# Alternatively 
    id    time 
1     1     5   
2     2     3+  
3     3     8  
4     4     2+  
5     5     6 

German Breast Cancer Study: A Working Example

German Breast Cancer (GBC) Study

  • Study Information
    • Population: 686 patients with node-positive breast cancer
    • Objective: Assess if hormone therapy tamoxifen + chemo reduces mortality/relapse
    • Baseline info: Age, tumor size, hormone levels, menopausal status, etc.
    • Follow-up: Median 44 months
      • 171 deaths \(\to\) exact times known
      • 515 censored \(\to\) survival time \(>\) censoring time
  • Data sets:

Data Format (I)

  • Death only
# Load mortality data
gbc_mort <- read.table("data/gbc_mort.txt", header = TRUE)
# Check the first few rows of the data frame
head(gbc_mort)
  id      time status hormone age meno size grade nodes prog estrg
1  1 74.819672      0       1  38    1   18     3     5  141   105
2  2 65.770492      0       1  52    1   20     1     1   78    14
3  3 47.737705      1       1  47    1   30     2     1  422    89
4  4  4.852459      0       1  40    1   24     1     3   25    11
5  5 61.081967      0       2  64    2   19     2     1   19     9
6  6 63.377049      0       2  49    2   56     1     3  356    64
# The data frame 'gbc_mort' contains:
#  time:   time (months) to death or censoring
#  status: event indicator (1 = death, 0 = censoring)
# hormone: Hormone therapy (1 = no, 2 = yes); age: Age at diagnosis (years);
# meno: Menopausal status (1 = no, 2 = yes); size: Tumor size (mm); grade: Tumor grade (1–3);
# nodes: Number of positive lymph nodes; prog: Progesterone receptor level (fmol/mg); estrg:
# Estrogen receptor level (fmol/mg).

Data Format (II)

  • Mortality + relapse
# Load mortality + relapse data
gbc <- read.table("data/gbc.txt", header = TRUE)
# Check the first few rows of the data frame
head(gbc)
  id     time status hormone age meno size grade nodes prog estrg
1  1 43.83607      1       1  38    1   18     3     5  141   105
2  1 74.81967      0       1  38    1   18     3     5  141   105
3  2 46.55738      1       1  52    1   20     1     1   78    14
4  2 65.77049      0       1  52    1   20     1     1   78    14
5  3 41.93443      1       1  47    1   30     2     1  422    89
6  3 47.73770      2       1  47    1   30     2     1  422    89
# The data frame 'gbc' contains:
#  time:   time (months) to death, relapse, or censoring
#  status: event indicator (1 = relapse, 2 = death, 0 = censoring)
#  other covariates the same as in gbc_mor.

Analysis Goals

  • Descriptive
    • Summarize patient characteristics
    • Visualize survival distributions
  • Inferential
    • Compare survival curves (e.g., hormone therapy vs. no hormone therapy)
    • Assess impact of covariates on survival (e.g., age, tumor size, etc.)
    • Model competing risks (e.g., relapse vs. death)
  • Predictive
    • Develop risk prediction models
    • Evaluate model performance (e.g., concordance index, calibration)

Standard Analysis with survival Package

Survival Package Overview

  • Key Functions
    • Surv(): Create survival object
    • survfit(): Fit Kaplan-Meier survival curves
    • survdiff(): Compare survival curves (log-rank test)
    • coxph(): Fit Cox proportional hazards regression models
    • survreg(): Fit parametric survival regression models

Kaplan-Meier Survival Curves

  • Create dataset for relapse-free survival
# Sort by subject id, then time
o <- order(gbc$id, gbc$time)
gbc <- gbc[o,]
# Keep only first row per subject => first event
df <- gbc[!duplicated(gbc$id), ]
# Convert status > 0 to 1 if it is either relapse or death
df$status <- ifelse(df$status > 0, 1, 0)
head(df)
  id      time status hormone age meno size grade nodes prog estrg
1  1 43.836066      1       1  38    1   18     3     5  141   105
3  2 46.557377      1       1  52    1   20     1     1   78    14
5  3 41.934426      1       1  47    1   30     2     1  422    89
7  4  4.852459      0       1  40    1   24     1     3   25    11
8  5 61.081967      0       2  64    2   19     2     1   19     9
9  6 63.377049      0       2  49    2   56     1     3  356    64

Kaplan-Meier Curves (I)

  • Fit Kaplan-Meier survival curves
library(survival) 
# Fit KM curves by hormone treatment group
km_fit <- survfit(Surv(time, status) ~ hormone, data = df)
km_fit
Call: survfit(formula = Surv(time, status) ~ hormone, data = df)

            n events median 0.95LCL 0.95UCL
hormone=1 440    205   50.1    42.5    59.5
hormone=2 246     94   66.2    62.9      NA

Kaplan-Meier Curves (II)

  • Summarize survival estimates at specified time points

    • For example, at 6, 12, 24, and 36 months
    summary(km_fit, times = c(6, 12, 24, 36))
    Call: survfit(formula = Surv(time, status) ~ hormone, data = df)
    
                    hormone=1 
     time n.risk n.event survival std.err lower 95% CI upper 95% CI
        6    419       9    0.979 0.00691        0.966        0.993
       12    379      35    0.897 0.01476        0.868        0.926
       24    280      73    0.720 0.02203        0.678        0.764
       36    195      41    0.606 0.02475        0.559        0.656
    
                    hormone=2 
     time n.risk n.event survival std.err lower 95% CI upper 95% CI
        6    236       4    0.983 0.00826        0.967        1.000
       12    223       8    0.950 0.01418        0.922        0.978
       24    177      38    0.785 0.02701        0.733        0.839
       36    136      16    0.708 0.03047        0.650        0.770

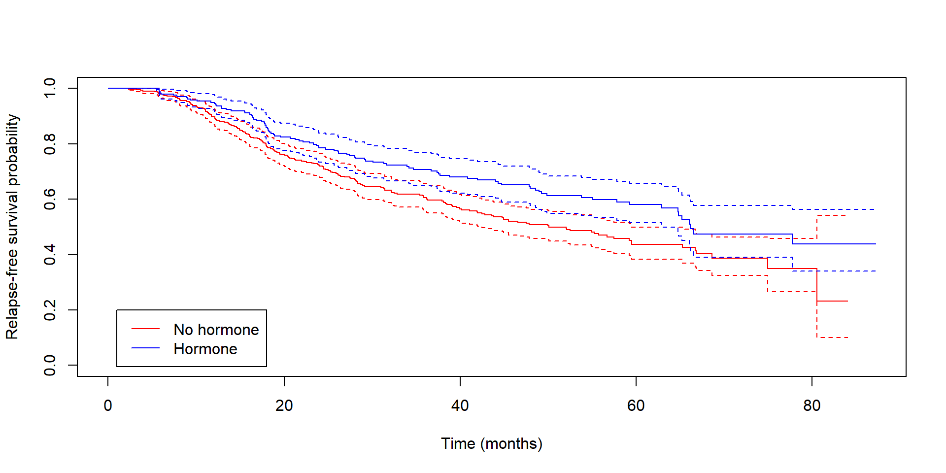
Kaplan-Meier Curves (III)

  • Plot Kaplan-Meier survival curves by group
plot(km_fit, ylim = c(0,1), xlab = "Time (months)", ylab = "Relapse-free survival probability",
     col = c("red", "blue"), conf.int = TRUE)
# Add legend
legend(1, 0.2, col=c("red", "blue"), lty = 1, 
       c("No hormone", "Hormone")) # Legend text

Log-Rank Test

  • Compare survival curves between groups
lgr_obj <- survdiff(Surv(time, status) ~ hormone, data = df)
lgr_obj # Print log-rank test results
Call:
survdiff(formula = Surv(time, status) ~ hormone, data = df)

            N Observed Expected (O-E)^2/E (O-E)^2/V
hormone=1 440      205      180      3.37      8.56
hormone=2 246       94      119      5.12      8.56

 Chisq= 8.6  on 1 degrees of freedom, p= 0.003 
lgr_obj$pvalue # Extract p-value
[1] 0.003427282

Exercise

Perform a log-rank test on treatment stratified by patient menopausal status meno.

Solution
survdiff(Surv(time, status) ~ hormone + strata(meno), data = df)

Cox Model - Model Specification

  • Cox proportional hazards model \[ \lambda(t \mid Z) = \lambda_0(t) \exp(\beta_1 Z_1 + \beta_2 Z_2 + \ldots + \beta_p Z_p) \]
    • \(\lambda_0(t)\): baseline hazard function
    • \(Z=(Z_1,\ldots, Z_p)^\mathrm{T}\): covariates (e.g., hormone therapy, age, tumor size)
    • \(\beta=(\beta_1,\ldots,\beta_p)^\mathrm{T}\): regression coefficients
    • \(\exp(\beta_j)\): hazard ratio for covariate \(Z_j\)
  • Proportional hazards (PH) assumption \[ \frac{\lambda(t \mid Z)}{\lambda(t \mid Z^*)} = \exp\{\beta^\mathrm{T}(Z - Z^*)\} \]
    • HR constant over time, i.e., \(\beta(t) \equiv \beta\) (for each covariate)

Cox Model - Model Fitting (I)

  • Model fitting: survival::coxph()
cox_fit <- coxph(Surv(time, status) ~ hormone + meno + age + grade + size + prog + estrg, 
                 data = df)
summary(cox_fit) # Print model summary
Call:
coxph(formula = Surv(time, status) ~ hormone + meno + age + grade + 
    size + prog + estrg, data = df)

  n= 686, number of events= 299 

              coef  exp(coef)   se(coef)      z Pr(>|z|)    
hormone -0.3422139  0.7101963  0.1290669 -2.651  0.00801 ** 
meno     0.2765637  1.3185909  0.1837781  1.505  0.13236    
age     -0.0087813  0.9912572  0.0093375 -0.940  0.34700    
grade    0.2785797  1.3212519  0.1051531  2.649  0.00807 ** 
size     0.0152793  1.0153966  0.0036877  4.143 3.42e-05 ***
prog    -0.0023307  0.9976720  0.0005803 -4.016 5.91e-05 ***
estrg    0.0001678  1.0001679  0.0004669  0.359  0.71923    
---
Signif. codes:  0 '***' 0.001 '**' 0.01 '*' 0.05 '.' 0.1 ' ' 1

        exp(coef) exp(-coef) lower .95 upper .95
hormone    0.7102     1.4081    0.5515    0.9146
meno       1.3186     0.7584    0.9198    1.8904
age        0.9913     1.0088    0.9733    1.0096
grade      1.3213     0.7569    1.0752    1.6236
size       1.0154     0.9848    1.0081    1.0228
prog       0.9977     1.0023    0.9965    0.9988
estrg      1.0002     0.9998    0.9993    1.0011

Concordance= 0.651  (se = 0.016 )
Likelihood ratio test= 68.4  on 7 df,   p=3e-12
Wald test            = 61.93  on 7 df,   p=6e-11
Score (logrank) test = 61.23  on 7 df,   p=9e-11

Cox Model - Model Fitting (II)

  • Extracting \(\hat\beta\) and \(\hat{\mathrm{var}}(\hat\beta)\)
beta <- cox_fit$coefficients # Estimated coefficients
vbeta <- vcov(cox_fit) # Estimated variance-covariance matrix
# Extract regression table (as data frame)
coef(summary(cox_fit))
                 coef exp(coef)     se(coef)          z     Pr(>|z|)
hormone -0.3422138547 0.7101963 0.1290669350 -2.6514448 8.014821e-03
meno     0.2765636858 1.3185909 0.1837780595  1.5048787 1.323553e-01
age     -0.0087812621 0.9912572 0.0093375120 -0.9404285 3.469978e-01
grade    0.2785796730 1.3212519 0.1051531448  2.6492757 8.066449e-03
size     0.0152793172 1.0153966 0.0036877471  4.1432660 3.423945e-05
prog    -0.0023307288 0.9976720 0.0005803186 -4.0162919 5.912102e-05
estrg    0.0001678465 1.0001679 0.0004669057  0.3594870 7.192308e-01
  • Conclusion
    • Hormone therapy significantly reduces the risk of relapse or death by \(1-0.710=29\%\) (\(p\) = 0.008)

Cox Model - Prediction (I)

  • Predicted survival function \[ \hat S(t \mid z) = \exp\left\{- \exp(\hat\beta^\mathrm{T} z) \hat\Lambda_0(t)\right\} \]

  • Prepare new data for prediction

# Create new data for prediction
# specify all covariate values
new_data <- data.frame(hormone = 1, meno = 1, 
                        age = 45, grade = 2, 
                        size = 20, prog = 100, 
                        estrg = 100)
new_data
  hormone meno age grade size prog estrg
1       1    1  45     2   20  100   100

Cox Model - Prediction (II)

  • Predict survival probabilities at specified time points
# Predict survival probabilities at 6, 12, 24, 26 months
predicted_survival <- survfit(cox_fit, newdata = new_data[1, ], times = c(6, 12, 24, 36))
summary(predicted_survival, times = c(6, 12, 24, 36))
Call: survfit(formula = cox_fit, newdata = new_data[1, ], times = c(6, 
    12, 24, 36))

 time n.risk n.event survival std.err lower 95% CI upper 95% CI
    6    655      13    0.985 0.00441        0.976        0.994
   12    602      43    0.933 0.01059        0.913        0.954
   24    457     111    0.786 0.02304        0.743        0.833
   36    331      57    0.696 0.02925        0.641        0.755

Cox Model - Prediction (III)

  • Plot predicted survival function
# Plot predicted survival function
plot(predicted_survival, ylim = c(0, 1), xlab = "Time (months)", 
     ylab = "Relapsep-free survival probability", conf.int = TRUE)

Cox Model - Check PH Assumptions (I)

  • Schoenfeld residuals
    • Difference between observed and expected covariate values at each event time
    • Use cox.zph() to test PH assumption
ph_test <- cox.zph(cox_fit)
ph_test # Print test results
         chisq df      p
hormone  0.272  1 0.6017
meno     5.514  1 0.0189
age      9.430  1 0.0021
grade    8.490  1 0.0036
size     0.872  1 0.3505
prog     4.881  1 0.0272
estrg    5.403  1 0.0201
GLOBAL  20.636  7 0.0043

Cox Model - Check PH Assumptions (II)

  • Graphical check of PH assumptions
    • Plot Schoenfeld residuals against time
par(mfrow= c(2, 4)) # Set up 2x4 plotting area for 7 covariates
plot(ph_test, se = TRUE, col = "blue", lwd = 2) # Plot Schoenfeld residuals

Cox Model - Check Covariate Forms

  • Check linearity of covariate effects

    • Plot martingale residuals against (quantitative) covariates
    # Extract martingale residuals 
    mart_resid <- residuals(cox_fit, type = 'martingale')
    Plotting
    par(mfrow= c(1, 4))  # Set up 1x4 plotting area for 4 covariates
    # Plot martingale residuals against age
    plot(df$age, mart_resid, xlab = "Age", ylab = "Martingale Residuals",
         main = "Age")
    # Add smoothed line
    lines(lowess(df$age, mart_resid), col = "blue", lwd = 2)
    abline(h = 0, col = "red", lty = 2) # Add horizontal line at 0
    
    # Repeat for other covariates
    plot(df$size, mart_resid, xlab = "Tumor Size", ylab = "Martingale Residuals",
         main = "Tumor Size")
    lines(lowess(df$size, mart_resid), col = "blue", lwd = 2)
    abline(h = 0, col = "red", lty = 2) # Add horizontal line at 0
    plot(df$prog, mart_resid, xlab = "Progesterone Receptor", ylab = "Martingale Residuals",
         main = "Progesterone Receptor")
    lines(lowess(df$prog, mart_resid), col = "blue", lwd = 2)
    abline(h = 0, col = "red", lty = 2) # Add horizontal line at 0
    plot(df$estrg, mart_resid, xlab = "Estrogen Receptor", ylab = "Martingale Residuals",
         main = "Estrogen Receptor")
    lines(lowess(df$estrg, mart_resid), col = "blue", lwd = 2)
    abline(h = 0, col = "red", lty = 2) # Add horizontal line at 0

Coding Exercise

Exercise

Residual analyses show that the proportional hazards assumption is violated for tumor grade, and that the effect of age is not linear.

Fit a different model to address these issues.

Sample solution
# Dichotomize age at 40
df$age40 <- ifelse(df$age < 40, 0, 1)
# Fit Cox model stratified by tumor grade and with binary age 
cox_fit2 <- coxph(Surv(time, status) ~ hormone + meno + age40 + size + prog + estrg + 
                   strata(grade), data = df)
summary(cox_fit2) # Print model summary

Summary

Key Takeaways

  • Survival analysis is essential for (often censored) time-to-event data
  • Key estimands: survival function, hazard function, cumulative hazard
  • Standard analysis tools
    • Kaplan-Meier curves (survfit())
    • Log-rank test (survdiff())
    • Cox proportional hazards model (coxph())

Open Questions

  • Efficient/effective presentation of survival probabilities
    • Point estimates, confidence intervals
  • Customizable survival curves
    • Add at risk table below graph
  • Presentation of regression results
    • Hazard ratios, confidence intervals, p-values
    • Visualize regression results (e.g., forest plots)